CBSE Guess > Papers > Question Papers > Class XII > 2004 > Maths > Delhi Set-II
MATHS (Set II—Delhi)
Except for the following questions, all the remaining questions have been asked in Set I .
SECTION - A
Q. 1. 3 cards are drawn at random from a pack of well shuffled 52 cards. Find the probability that
(i) all the three cards are of the same suit;
(ii) one is a king, the other is a queen and the third is a jack.
Q. 3. Using properties of determinants show that:

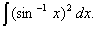
Q. 5. Evaluate: 
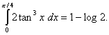
Q. 10. Show that 
Q. 14. Find the equations of the tangent and the normal to the curve at the point whose coordinate is 3.
Or
Find the intervals in which the function (a) increasing (b) decreasing.
Q. 15. Prove that:
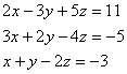
Q. 17. Using matrix method solve the following system f linear equations:

SECTION - B Q. 19. If show that 
SECTION - C Q. 21. The mean and variance of a binomial distribution are 4/3 and 8/9 respectively. Find 
Or
If the sum of the mean and variance of a binomial distribution for 6 trials be 10/3, find the distribution.
CBSE 2004 Question Papers Class XII
|