CBSE Guess > Papers > Question Papers > Class XII > 2004 > Maths > Outside Delhi Set-II
MATHS (Set II—Outside Delhi)
Except for the following questions, all the remaining questions have been asked in Set I .
SECTION - A
Q. 6. Using properties of determinants, Prove that

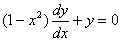
Q. 7. Solve the differential equation: 
Given that y (0) =1.
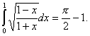
Q. 12. Prove that: 
Or
Prove that: 
Q. 13. If 
Prove that 
Q. 17. Prove that the area of the region included between the parabola and where is 
SECTION - B
Q. 19. Show that the four points whose position vectors are are coplanar.
Q. 21. Find the equation of the plane passing through the point (-1, -1, 2) and perpendicular to the planes 
Q. 24. Three forces acting on a particle, are in equilibrium. If the angle between forces is double the angle between the forces show that 
SECTION - C
Q. 20. A is known to speak the truth 3 times out of 5 times. He throws a die and reports that it is 1. Find the probability it is actually 1.
Q. 21. If the banker's gain on bill due 4 months hence at 6% p.a. is Rs.400, find the amount of the bill and also find the true discount on it.
Q. 23. The cost function and revenue function of x units of an item are given by respectively. Find the number of items to be produced and sold to have maximum profit, find the maximum profit also.
CBSE 2004 Question Papers Class XII
|