CBSE Guess > Papers > Question Papers > Class XII > 2004 > Maths > Compartment Outside Delhi Set-II
MATHS (Set II—Compartment Outside Delhi)
Except for the following questions, all the remaining questions have been asked in Set I .
SECTION - A
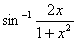
Q. 1. If 
Q. 3. Solve the following differentia equation: 
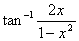
Q. 10. Differentiate with respect to 
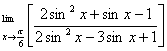
Q. 13. Evaluate: 
Q. 15. If f
Or
Differentiate from first principles.
Q. 18. Using integration, find the area of the region in the first quadrant enclosed by the x-axis, the line an the circle 
SECTION - B
Q. 21. Using vectors, prove that if the diagonals of a parallelogram are equal in length it is a rectangle.
SECTION - C
Q. 19. A box contains 4 gold and 3 silver coins. Another box contains 3 gold and 5 silver coins. A box is chosen at random and a coin is drawn from it. If the selected coin is a gold coin, find the probability that it was drawn from the second box.
CBSE 2004 Question Papers Class XII
|