CBSE Guess > Papers > Question Papers > Class XII > 2004 > Maths > Compartment Outside Delhi Set-I
MATHS (Set I—Compartment Outside Delhi)
Or
Using differentials, find the approximate value of correct upto three decimal places.
Q. 13. Evaluate: 
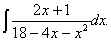
Q. 14. Evaluate: 
Q. 15. Evaluate: 
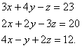
Q. 16. Using matrices, solve the following system of equations:

Q. 17. Prove that the volume of the largest cone that can be inscribed in a sphere of radius R is of the volume of the sphere.
Or
Prove that the curves cut at right angles if 8k2=1.
Q. 18. Using integration, find the area of the region in the first quadrant enclosed by the x-axis, the line and the circle 
SECTION - B
Q. 19. For what value of are the vectors coplanar?
Or
For what value of are the four points A (3, 2, 1) B (4, , 5 ), C (4, 2,-2) and D (6, 5,-1) coplanar?
Q. 20. Using vectors prove that an angle in a semicircle is a right angle.
Q. 21. Show that the sphere touches the plane 
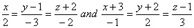
Q. 22. Find the equation of the line through the point (-1, 2, 3) which is perpendicular to the lines .
Q. 23. Prove that the equation of the plane making intercepts a, b and c on the co-ordinate axes, is of the form 
Q. 24. A body of weight 5 kg is suspended by two strings 7 cm and 24 cm long. Their other ends being fastened to the end points of a rod of length 25 cm. If the rod be so held that the body hangs immediately below its mid-point, find the tension in the strings. Q. 25. Two forces, when acting at right angles, have their resultant of magnitude and when they act at , the magnitude of the resultant is Find the magnitude of the two forces.
Q. 26. A particle is projected upwards with a velocity of 4 m/sec and after t seconds, another particle is projected upwards from the same point with the same velocity. Prove that the particles will meet at a height of after a time period of seconds start.
Or
A particle is projected so as to graze the tops of two walls, each of height 10 m at distances of 10 m and 60 m respectively from the point of projection. Find the angles of projection.
SECTION - C
Q. 19. Find the face value of a ball discounted at 6% per annum 146 days before the legally due date, if the bankers gain is Rs. 18.
Or
The difference between Bankers discount and True Discount on a bill legally due 3 months hence at 5 %per annum is Rs. 50. Find the face value, Bankers Discount and True Discount.
Q. 20. A bill of exchange drawn on May 1, 2003 for Rs. 73,200 for 6 months was discounted by a bank at 6% per annum for Rs. 72,443,20. On what day was the bill discounted?
Q. 21. A box contains 2 gold and 3 silver coins. Another box contains 3 gold and 3 silver coins. A box is chosen sat random and a coin is drawn from it. If the selected coin is a gold coin. Find the probability that it was drawn from the second box.
Q. 22. 10% of the tools produced by a machine are defective. Find the probability distribution of the number of defective tools in a sample of 3 drawn at random.
Q. 23. Two partners A and B invest Rs. 20.000 and Rs. 30.000 respectively in a business. They decided to distribute 50% of the total profit equally and her remaining in the ratio of their investments. If B receives Rs. 3,000 more than A, find the total profit and profit received by each.
Q. 24. What equivalent payments made at the beginning of each month for 8 years will pay for a house priced at Rs. 5.00.000, If money is worth 12% per annum, compounded monthly? [Use (1.01)-95 =0.3904] Q. 25. If the Cost function C (x) is given by , where x is the output
Prove that 
Also find the marginal Cost when 50 units are produces.
Q. 26. A housewife wishes to mix two kinds of foods X an Y in such a way that the mixture contains at least 10 units of Vitamin A, 12 units of Vitamin B and 8 units of Vitamin C. The vitamin contents of one kg of each food is given below.
|
Vitamin A |
Vitamin B |
Vitamin C |
Food |
1 |
2 |
3 |
Food |
1 |
2 |
1 |
One kg of Food X and Food Y respectively cost Rs.6 and Rs.10. Find the least cost of mixture graphically, making it a linear programming problem.
Or
A man has Rs. 1,500 for purchase of rice and wheat. A bag of rice and a bag of wheat cost Rs. 180 and Rs. 120 respectively. He has a storage capacity of 10 bags only. He earns a profit of Rs. 11 and Rs. 9 respectively per bag of rice and wheat. Formulate it as a linear programming problem and solve it graphically for maximum profit.
CBSE 2004 Question Papers Class XII
|