CBSE Papers

CBSE Guess > Papers > Question Papers > Class XII > 2006 > Mathematics > Outside Delhi Set - III.

Mathematics — 2006 (Set III — Outside Delhi)

SECTION – A

Q. 1. If , find the values of a and b such that A2 + Aa + bi = 0. Hence find A-1.

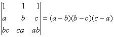
Q. 2. Using properties of determinants, prove the following:

Q. 3. Solve the following differential equation:

Q. 4.

 

Q. 9. Differentiate from first principle.

Q. 10.

Q. 11. Verify Lagrange’s Mean Value Theorem for the following:

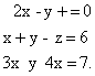
Q. 17. Using matrices, solve the following system of equations:

 

Mathematics 2006 Question Papers Class XII
Delhi Outside Delhi Compartment Delhi Compartment Outside Delhi
Indian Colleges Set I Indian Colleges Set I Indian Colleges Set I Indian Colleges Set I
Indian Colleges Set II Indian Colleges Set II Indian Colleges Set II Indian Colleges Set II
Indian Colleges Set III Indian Colleges Set III        

CBSE 2006 Question Papers Class XII
Indian Colleges English Indian Colleges Sociology
Indian Colleges Functional English Indian Colleges Psychology
Indian Colleges Mathematics Indian Colleges Philosopy
Indian Colleges Physics Indian Colleges Computer Science
Indian Colleges Chemistry Indian Colleges Entrepreneurship
Indian Colleges Biology Indian Colleges Informatics Practices
Indian Colleges Geography Indian Colleges Multimedia & Web Technology
Indian Colleges Economics Indian Colleges Biotechnology
Indian Colleges Business Studies Indian Colleges Physical Education
Indian Colleges Accountancy Indian Colleges Fine Arts
Indian Colleges Political Science Indian Colleges History
Indian Colleges Agriculture