CBSE Papers

CBSE Guess > Papers > Question Papers > Class XII > 2006 > Mathematics > Delhi Set - II.

Mathematics — 2006 (Set II — Delhi)

SECFION - A

Q. 4.

Q. 6. Solve the following differential equation:

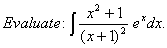
Q. 8.

Q. 11.

Q. 13.

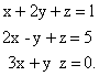
Q. 18. Using matrices, solve the following system of equations:

SECTION - B

Q. 22. If find the value of is perpendicular to

Q. 23. Find the equation of the plane passing through the points (0, —1, —1), (4, 5, 1) and (3, 9, 4).

Or

Find the equation of the sphere on the join of points A and B with position vectors respectively as diameter. Find the centre and radius of sphere also.

Q. 26. The vector equations of two lines are:

SECTION - C

Q. 19. Find the face value of a bill discounted at 5% per annum 146 days earlier than the legal date of maturity when the banker’s gain is Rs. 5.

Q. 23. Find the amount of an annuity of Rs. 500 payable at the end of every month for 3 years if the money is worth 15% per annum, compounded monthly. [Use (1.0125)36= 1.5391]

 

Mathematics 2006 Question Papers Class XII
Delhi Outside Delhi Compartment Delhi Compartment Outside Delhi
Indian Colleges Set I Indian Colleges Set I Indian Colleges Set I Indian Colleges Set I
Indian Colleges Set II Indian Colleges Set II Indian Colleges Set II Indian Colleges Set II
Indian Colleges Set III Indian Colleges Set III        

CBSE 2006 Question Papers Class XII
Indian Colleges English Indian Colleges Sociology
Indian Colleges Functional English Indian Colleges Psychology
Indian Colleges Mathematics Indian Colleges Philosopy
Indian Colleges Physics Indian Colleges Computer Science
Indian Colleges Chemistry Indian Colleges Entrepreneurship
Indian Colleges Biology Indian Colleges Informatics Practices
Indian Colleges Geography Indian Colleges Multimedia & Web Technology
Indian Colleges Economics Indian Colleges Biotechnology
Indian Colleges Business Studies Indian Colleges Physical Education
Indian Colleges Accountancy Indian Colleges Fine Arts
Indian Colleges Political Science Indian Colleges History
Indian Colleges Agriculture