Maths by Mr. M. P. Keshari
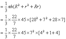
Example 3. If the radii of the circular ends of a bucket, 45cm high, are 28cm and 7cm, find the capacity of the bucket.
Solution:- Height, h = 45cm
Radius, R = 28cm
Radius, r = 7 cm
capacity of the bucket
= 1/3 X 22 X 45 X 7 X 21
= 48510 cm3
Example 4. A solid sphere of radius 3cm is melted and then cast into small spherical balls each of diameter 0.6cm. Find the number of small balls thus obtained.
Solution:- Let number of small balls be x
Volume of x small balls = Volume of sphere
| Subjects | Maths (Part-1) by Mr. M. P. Keshari |
| Chapter 9 | Circle |
| Chapter 10 | Tangents to a circle |
| Chapter 11 | Geometrical Construction |
| Chapter 12 | Troigonometry |
| Chapter 13 | Height and Distance |
| Chapter 14 | Mensuration |
| Chapter 15 | Statistics |
| Chapter 16 | Probability |
| Chapter 17 | Co-ordinate Geometry |