Trigonometry Identities
Let us take any acute angle taking point P on OB we draw perpendicular PQ on OAB. Thus we have a right angled triangle OPQ. If we suppose 

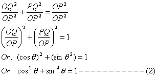
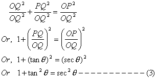
We have OQ2 + PQ2 = OP2--------------(1)
Dividing both sides of (i) by OP2 we get
Similarly, dividing both sides of (1) by OQ2 we get
A gain dividing both sides of (i) by PQ2 , we get
Here, (2), (3) and (4) are all identities. These can be used to express one trigonometric ratio to other trigonometric ratio. For example:
Similarly,
| Subjects | Maths (Part-1) by Mr. M. P. Keshari |
| Chapter 9 | Circle |
| Chapter 10 | Tangents to a circle |
| Chapter 11 | Geometrical Construction |
| Chapter 12 | Troigonometry |
| Chapter 13 | Height and Distance |
| Chapter 14 | Mensuration |
| Chapter 15 | Statistics |
| Chapter 16 | Probability |
| Chapter 17 | Co-ordinate Geometry |