CBSE Guess > Papers > Question Papers > Class XII > 2003 > Mathematics > Compartment Delhi Set -II
MATHEMATICS—2003 (Set II—Compartment Delhi)
Note: Except for the following questions, all the remaining question have been asked in Set I .
SECTION - A
Q. 6. Evaluate: 
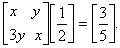
Q. 8. Solve for , given that

Q. 10. The two lines of regression are given by Find and the co-efficient of correlation between 
Q. 12. Events A and B are given to be independent. Find P (B), if it is given that 
Q. 15. Evaluate: 
Q. 18. Using integration, find the area of the triangle ABC, whose vertices have coordinates: A (3, 0), B (4, 6) and C (6, 2).
SECTION - B
Q. 22. Find the value of so that the two vectors are
(i) Parallel,
(ii) Perpendicular to each other.
SECTION - C
Q. 21. For a near normal distribution, Kari Pearson's co-efficient of skewness is 0.6. The standard deviation of the distribution is 12 and the mean is 45. Find its mode and median.
CBSE 2003 Question Papers Class XII
|