Chapter 14 - Mensuration

Example 7. A circus tent is cylindrical to a height of 3m and conical above it. If its base radius is 52.5m and slant height of the conical portion is 53m, find the area of the canvas needed to make the tent.

Solution:- Radius of the cylinder

= Radius of the cone = 52.5m

Height of the cylinder = 3m

Slant height of the cone = 53m

Area of the canvas = curved surface area of cone + curved surface area of cylinder

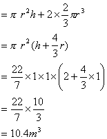
Example 8. A boiler is in the form of cylinder 2m long with hemispherical ands each of 2m diameter. Find the volume of the boiler.

Solution:- Length of cylindrical portion = h = 2m

Radius of cylinder = Radius of hemisphere

&bsp;                                 = r = 1m

Volume of boiler = Volume of cylinder + volume of two hemispheres

 

Maths by Mr. M. P. Keshari
Subjects Maths (Part-1) by Mr. M. P. Keshari
Chapter 9 Circle
Chapter 10 Tangents to a circle
Chapter 11 Geometrical Construction
Chapter 12 Troigonometry
Chapter 13 Height and Distance
Chapter 14 Mensuration
Chapter 15 Statistics
Chapter 16 Probability
Chapter 17 Co-ordinate Geometry