Maths by Mr. M. P. Keshari
  Exercise - 24
1. Simplify: 
2. Evaluate: 
3. Evaluate: 
4. Evaluate: 
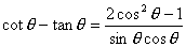
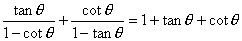
Prove the following indentities:
5. 
6. 
7. 
8. 
9. 
10. 
11. 
12. 
13. 
14. 
15. 
16. 
17. 
18. 
19. 
20. 
21. 
22. 
23. 
24. 
25. 
26. 
27. 
28. 
29. 
30. 
31. 
32. 
33. 
34. 
35. If 
determine 
36. If 
Show taht 
37. If 
Show that 
38. If 
Show that 
39. If 
find the value of 
40. If 
find the value of 
41. If 
show that 
42. 
prove that 
43. If 
prove that 
44. If 
and 
prove that 
45. If 
prove that 
Answers
| 1. 1 | 2. -1 | 3. 11/6 | 4.  | 
                
| Subjects | Maths (Part-1) by Mr. M. P. Keshari | 
| Chapter 9 | Circle | 
| Chapter 10 | Tangents to a circle | 
| Chapter 11 | Geometrical Construction | 
| Chapter 12 | Troigonometry | 
| Chapter 13 | Height and Distance | 
| Chapter 14 | Mensuration | 
| Chapter 15 | Statistics | 
| Chapter 16 | Probability | 
| Chapter 17 | Co-ordinate Geometry |