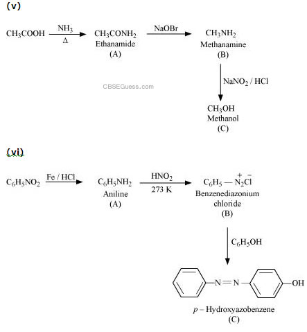
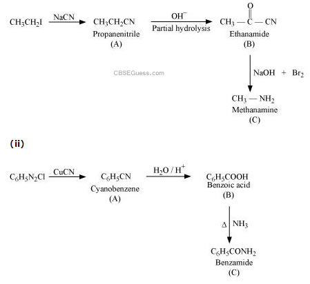
Question 18: Give the structures of A, B and C in the following reactions:

Answer :
(i)


Question 19: An aromatic compound ‘A’ on treatment with aqueous ammonia and heating forms compound ‘B’ which on heating with Br2 and KOH forms a compound ‘C’ of molecular formula C6H7N. Write the structures and IUPAC names of compounds A, B and C.
Answer :
It is given that compound ‘C’ having the molecular formula, C6H7N is formed by heating compound ‘B’ with Br2 and KOH. This is a Hoffmann bromamide degradation reaction. Therefore, compound ‘B’ is an amide and compound ‘C’ is an amine. The only amine having the molecular formula, C6H7N is aniline, (C6H5NH2).

Therefore, compound ‘B’ (from which ’C’ is formed) must be benzamide, (C6H5CONH2).

Further, benzamide is formed by heating compound ‘A’ with aqueous ammonia. Therefore, compound ‘A’ must be benzoic acid.

The given reactions can be explained with the help of the following equations:

Prepared By: Mr. MANISH TULI
mail to: [email protected]