CBSE Important Questions

Mathmatics Class X

Q. 1. State Euclid division lemma.

Q. 2. Check whether Equation x( x +1 ) +8 = (x+ 2 )( x- 2) Quadratic equation or not .

Q. 3 For what value of P equations 4x + py +8 =0 and 2x +2y +2 =0 have unique solution .

Q. 4. What is a quadratic polynomial?

Q. 5. State fundamental theorem of arithmetic.

Q. 6. Solve by completing square method 2x2 – 2 √2 x + 1 = 0

Q. 7. solve 152x – 378y = -74 ; -378x + 152y = -604

Q. 8. Check whether 6n can end with the digits 0 for any natural number n .

Q. 9. Find the Zeroes of the Quadratic x2 + 7x +10 and verify the relationship between the zeroes and coefficient.

Q. 10. Use Euclid algorithm to find the H.C.F OF 4052 and 12576 .

Q. 11. On dividing x3 – 3x2 + x + 2 by a polynomial g(x) the quotient and reminder were (x-2) and -2x + 4. Find g(x)

Q. 12. Check whether pair of line x + 3y = 6 and 2x – 3y = 12 is consistent. If so, solve them graphically.

Q. 13. Using Euclid Division lemma show that the square of any positive integer is either 3m or 3m + 1 for any m.

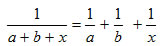
Q. 14.

Q. 15. Prove that √3 is an irrational.

Q. 16. If polynomial x4 – 6x3 + 16x2- 25x + 10 is divided by another polynomial x2 -2x + k the reminder Is (x +a) . Find k & a .

Q. 17. A motor boat whose speed is 18 Km/Hr in still water taken I hour more to go 24 upstream to return Downstream to the same point spo . Find the speed of stream .

Q. 18. H.C.F of the polynomial is x + 3 and their L.C.M is x3 – 7x + 6. If one of the polynomial is x2 + 2x -3. Find the other .

Q. 19. Roohi travels 300 km to her home partly by train and partly by bus . She Takes 4 hours if she travel 60km by train and the remaining by the bus. If she travel 100 km by train and the remaining by bus, She takes 10 minute longer. Find the speed of the train and the bus separately.

Q. 20. Solve :-

  1. ( x2 + 1) - x(a2 + 1) = 0

Paper By: Mr. Ashok
Email Id: [email protected]
Ph No. :9810374823