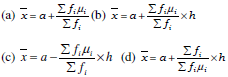
(a) mean
(b) median
(c) mode
(d) none of these .
(a)
(b) - 14
(c) 2
(d) - 4
(a) 7.25 cm
(b) 8.25 cm
(c) 8.75 cm
(d) none

(a) 3/4
(b) 4/3
(c) 1/2
(d) 2/1
(a) 45
(b) 40
(c) 50
(d) 155

(b) 30
(c) 40
(d) none of these
(a) 3:5
(b) 9:25
(c) 25:9
(d) 5:3
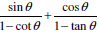
(a) 0
(b) 1
(c) sinө + cosө
(d) sinө − cosө
(a)
(b)
(c)
(d) none