Q. 58. Select the correct option with respect to mitosis
Sol:
Chromatids show poleward movement in anaphase; golgi and ER disappears in late prophase.
Answer: (1)
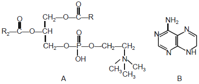
Q. 59. Which one of the following structural formulae of two organic compounds is correctly identified along with its related function?

Sol:
A is the formula of Lecithin. Lecithin is a phospholipid and is the component of the cell membranes. B is the formula of adenine which is a nitrogenous base not a nucleotide.
Answer: (1)
Q. 60. What was the most significant trend in the evolution of modern man (Homo sapiens) from his ancestors?
Sol:
The most significant trend in the evolution of modern man (Homo sapiens) from the ancestors is increasing brain capacity.
Answer: (1)
Q. 61. Which one of the following conditions correctly describes the manner of determining the sex in the given example?
Sol:
X/A ratio determines sex in Drosophila
; is heterogametic (ZW) in birds. In 'XO type' the 'O' determines maleness.
Answer: (3)
Q. 62. A person with unknown blood group under ABO system, has suffered much blood loss in an accident and needs immediate blood transfusion. His one friend who has a valid certificate of his own blood type, offers for blood donation without delay. What would have been the type of blood group of the donor friend?
Sol:
The person with blood group O is said to universal donor, because in this, there are no antigens on the surface of RBC.
Answer: (4)