Solution:
In Form One we have learned that any number that divided by zero will result infinity or undefined.
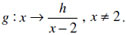
For part (a), if there is given an expression which is a fraction there must be given an information that
The value of unknown in the denominator that it cannot be. For example,
part of denominator is x - 2 . If x = 2 , the denominator would be 0 and the solution will be undefined
or infinity. So x cannot equal to 2. For the question above, we know that x cannot equal to 1 because if
x = 1,the denominator would be 0 and the solution will be undefined or infinity. It is given that x � k .
We already know that x � 1. So compare these two equations and it would result k = 1. So 1 is the
answer for part (a)
Example 3 :
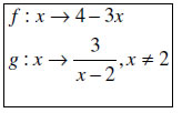
The following information refers to the functions f and g.


