CBSE Mathematics Class XI
CBSE Guess > eBooks > Class XI > Mathematics
Mathematics - CBSE CLASS XI
Mathematics
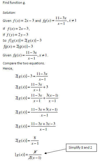
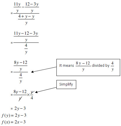
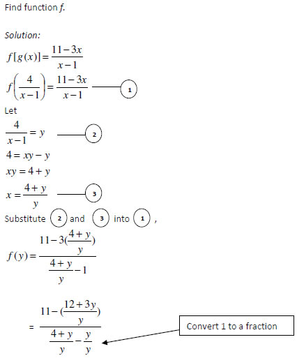
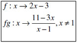
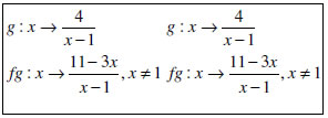
(1) The following information refers to the functions f and fg. (2) The following information refers to the functions f and fg.
(1) The following information refers to the functions f and fg.
(2) The following information refers to the functions f and fg.
CBSE Mathematics Class XI ( By Mr. Ayaz Khan ) Email Id : [email protected]