 |
The figure shows Set A, B and C.
The combined effect of two
functions can be represented by
the function gf(x) and not fg(x).
This is because the range of f has
become the domain of function g
or f(x) becomes the domain of
function g.
The concept is:
f(x) = 3x
f(k) = 3(k)
f(3) = 3(3)
f[g(x) ]= 3g(x)
|
Example 1:
Given function f : x → x +1and g : x → 3x . Find the composite function gf.
|

|
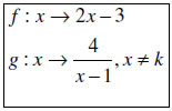
Example 2 :
The following information refers to the functions f and g. |
Find
(a) the value of k,
(b) fg(x).
|
 |