CBSE Important Questions

CBSE Guess > Papers > Important Questions > Class X > 2009 > Maths > Mathematics By Mr. Anil Kumar

CBSE CLASS X

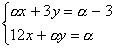
Q. 1. Find the values of p and q for which the following system of linear equations have  infinite  number of solutions.
                 2x + 3y = 7
                 2px + (p + q) y = 28


Q. 2. Find the value of k for which the system of equations has a unique solution:

x -ky = 2,     3x+ 2y = -5

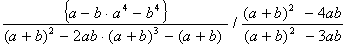
Q. 3. Simplify :  

Q. 4. Solve graphically the equation  x - y =10, 2x -3y = - 10.

Q. 5. Solve the following system of equations graphically:

  

Find the points where the lines meet the y-axis. 

Q. 6. Solve the following system of equations graphically:
                      2x - 5y + 4 = 0
                     2x + y - 8 = 0
Find the points where the lines meet the y-axis. 

Q. 7. Solve the following system of linear equations graphically:


Also find the vertices of the triangle formed by the above two lines and x-axis.
                                                             Or
300 apples are distributed equally among a certain number of students. Had there been 10 more students, each would have   received one apple less. Find the number of students.

Q. 8. A two digit number is such that the product of its digits is 20. If 9 is added to the number, the digits interchange their places. Find the number.

Q. 9. A train takes 2 hours less for a journey of 300 km if its speed is increased by 5  km/hour from its usual speed. Find the usual speed of the train.

Or

If twice the area of a smaller square is subtracted from the area of a larger  square, the result is 14 cm However, if twice the area of the larger square is added to  three times the area of the smaller square, the result is 203 cm 2 Determine the sides  of the two squares.

Q. 10. Solve the following system of linear equations:

Or

Q. 11. The sum of the digits of a two digit number is 15. The number obtained by interchanging the digits exceeds the given number by 9. Find the number.

Or

Q. 12. Solve for x and y:

Or

A two digit number is four times the sum of its digits and twice the product of the digits. Find the number.

Q. 13. For each of the following pair of equations,  draw the graph-lines and calculate the area bounded by the graph-lines and the x-axis.
4x - 3y + 4 = 0
4x + 3y - 20 = 0

Q. 14. Determine the value of a for  which the following  system of linear equations has infinitely many solutions.

Q. 15. Solve    65x – 33y = 97, 33x – 65y = 1
                                          
Q. 16. Show graphically that the given equations  have unique solution.    2x+3y =4  and   
          3x - y = -5 and hence find the solution.

Q. 17. A man starts his job with a certain monthly salary and earns a fixed increment   every year. If  his salary after 4 years of service was Rs 1900 and  after 8 years of  service ,it was Rs 2300.find his starting  salary and the annual increment .

Q. 18. Solve :       
                            

Q. 19. A motor boat whose speed is 9 km / hr in still water, goes 12 km, down stream and comes  back in a total time of 3 hours. Find the speed of the stream .

Or

Solve: 3 y 2 + ( 6 + 4 a ) y + 8 a = 0

Q. 20. Find graphically the vertices of the triangle whose sides have the equations.  
       2y-x =  8; 5y – x = 14; y – 2x = 1.

Q. 21. Draw the graph of the equation 5x + 4y + 20 = 0 From the graph, find  the co-ordinates of the point when i) x = 0  ii) y= -5.

Q. 22. By reduction of Rs. 1 per kg in the price of sugar, Mohan can buy one kg sugar more for Rs. 56. Find the original price of sugar per kilogram.

Q. 23. A rectangular reservoir is 120 m long and 75 m wide. At what speed per  hour must water flow into it through a square pipe of 20 cm wide so that  the water rises by 2.4 m in 18 hours?

Or

Out of a number of Saras birds, one fourth the number are moving about in lotus plants; one ninth coupled (along) with one fourth as well as 7 times the square root of the number move on a hill; 56 birds remain in vakula trees. What is the total number of birds?

Q. 24. Solve the following system of linear equations graphically :
2x + y = 8 and 3x - 2y = 12. From the graph, read the points where the lines meet the x-axis.

Q. 25.

  1. Solve the following equations graphically,
                       2x-3y+6=0
                       2x+3y-18=0
  2. Also find the area of the triangle formed.

Q. 26. Use a single graph and draw the graph of the following equations:

          2y – x – 8 = 0,
          y – 2x – 1 = 0
Calculate the area of the triangle so formed. Also, find the co-ordinates of   the points  where the lines intersect the ‘y’ axis.

Q. 27. Solve for ‘u’ and ‘v’           (where ‘u’ and ‘v’ ≠ 0)     
         6u = -3v + 7uv,                                            
         3u = -9v + 11uv                                                                 

Q. 28. The sum of the digits of a two-digit number is 8. The number obtained by  interchanging the two digits exceeds the given number by 36. Find the number.

Q. 29. solve the following system of equations graphically, x+y=7  , 5x+2y=20

   Or

Determine  the value of k for which the following system of equations have infinite solutions.
x + 6y = 8
x + 3y = 3k 2

Q. 30. Find the value of  a & b if the equation has infinite many solution   2x – (a-4) y = 2b+1;
          4x – (a-1)y  = 5b -1

Q. 31. Points A& B are 90 km apart from each other on a highway. A car starts from A & other
starts from B at the same time. If they go in same direction they meet in 9 hr and if they go in
 opposite direction they meet in 9/7 hr.Find their speeds.  (40, 30)

Q. 32. A fast train takes 3 hr less than a slow train for a journey of 600 km. If the speed of slow train is 10km less than that of fast train, Find the speed of two trains. (40, 50)

Q. 33. Find graphical solution of  3x + 2y = 8; 5x - 2y = 8: x+y = 2

Q. 34. Find the value of 'k' for which the following system of equations has no solutions:

  1. kx - 5y = 2; 6x + 2y = 7
  2. kx + 3y = 3; 12x + ky = 8

Q. 35. A boat takes 10 hours to travel 30 kms upstream and 44 kms downstream, but takes 13   hours to travel 40 kms upstream and 55 kms downstream. Find the speed of the boat in   still water and the speed of the stream

Q. 36. The age of Ram's mother is four times the age of Ram. Five years ago, the sum of their  ages was 30 years. Find their present ages.

Q. 37. When the speed of a bicycle is increased by 2 km/h, the time taken to cover 40 kms
         reduces by 1 hour. Find the original speed of the bicycle

Q. 38. Solve by cross multiplication     a(x+y) + b(x-y) = a2- ab + b2   ,a(x-y) – b(x-y) = a2+ab+b2

Q. 39. Points A & B are 90 Km. Apart from each other once highway.  A car starts from A and another from B at the same time.  If they go in same direction, they meet in 9 hrs. and if  they go in opposite directions, they meet in 9/7 hrs.  Find their speeds

Q. 40. An aeroplane left an airport 1hour late than the scheduled time. In order to reach its destination 900 km away, it had to increase its speed by 30 km/h. Calculate its original  speed

Q. 41. Find the value of  a and b  so that equation has infinitely many solutions.
        2x + 3y  = 7;  ( ab) x  + (a + b) y   = 3a + b -2

Q. 42. Draw the graphs of the equations
        x-y +1=0
        3x + 2y-12=0
Calculate the area bounded by these lines and the x-axis.

Q. 43. Solve for X and: Y

                  
                  

Q. 44. For what value of  and, the following system of linear equation have an infinite   
   number of solution


     

Q. 45. Solve graphically the following system of linear equations:                  

Q. 46. Solve  :

  

Q. 47. Solve Graphically:
2 x – 3y = 5 ;       3 x + 4y + 1 = 0

Q. 48. A motor boat whose speed is 9 km / hr in still water, goes 12 km, down stream and comes  back in a total time of 3 hours. Find the speed of the stream .
Or
       Solve: 3 y 2 + ( 6 + 4 a ) y + 8 a = 0

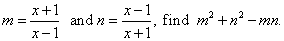
 Q. 49. If  and  find

Q. 50. Reduce the following rational number to its lowest terms

Q. 51. What should be subtracted from the expression  to get .

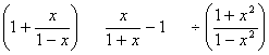
Q. 52. Simplify:

Q. 53. Reduce the following rational expression to it’s lowest term:

   

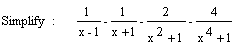
Q. 54. Simplify:

Q. 55.

- 13 + 36 = 0

Q. 56.

    

  
Q. 57.

    

Q. 58.

    

Q. 59.


Q. 60. 

   

Q. 61

Q. 62.    

 

Q. 63.       

Q. 64. Simplify:  ( X / X-Y)   - (Y / X+Y ) – ( 2XY / X2)  - (Y2 )  

Or

Simplify:    

Q. 65. Solve for x:  
                    where

Q. 66. Simplify:       

Q. 67. Reduce the following rational number to its lowest terms


                                                Or

Simplify:  

Q. 68. Find the sum of all three digit numbers which are multiples of  7.

Q. 69.  Solve the following using cross product method: 
( a + c) x  -  ( a- c) y  = 2ab
 ( a + b) x  - ( a -b)y  = 2ab

Or

Solve the  quadratic equation  for x  :      abx2   +(b2  -ac) x    -bc   = 0      

Q. 70.  Find the value of ‘k’ so that the roots of the quadratic equation (k+1)x2 + 2kx + 4= 0 is equal to the product of the roots

Q. 71.  If  and  are the roots of equation 2x2 + 5x –6=0. Find the value of +.

Q. 72.  Solve for   + 3 = .

Q. 73.  Given that one root of quadratic equation ax2 + bx +c = 0 is three times of other.  Show that 3b2 = 16ac.

Q. 74.  Solve for x: (x-3)(x+9)(x-7)(x+5) =1680

Q. 75.  Find the real values of x and y which make:
          (2x-3y-13)2 + (3x+5y+9)2

Q. 76.  For what value of ‘k’ the given equation kx2 – 4x + 2 = 0 has real and  equal roots?

Q. 77.  Solve
x =  

Or

A plane left 30 minutes later than its scheduled time. In order to reach its destination 1500 km away on time, it has to increase its speed by 250 km/hr than its usual speed. Find its usual speed

Q. 78.  Factorise x2(y – z) + y2(z – x) + z2(x – y)

Q. 79.  Find p for real roots  3x2 + px – 2 = 0 

Q. 80.  For what value of K, (4 – k) x2 + (2k + 4) x + ( 8k+1) = 0 is a perfect square. (0, 3)

Q. 81.  solve for x :  36x2 – 12ax + ( a2 – b2 )  = 0

                                       
Q. 82.  In the following equation, determine the set of values of p for which the quadratic  equation has real roots: px2 + 4x + 1 = 0

Q. 83. 

Q. 84.  Solve for a and b
2a + 3b = 17        [3, 2]
2a + 2 – 3b + 1 = 5

Q. 85.  Solve for X and Y

Q. 86.  The age of father is 3 years more than 3 times the son’s age. 3 years hence the age of the  father will be 10 years more than twice the age of the son. Find their present age.

Q. 88.  Two places A & B are 120 km apart from each other on a highway. A car starts from A and another from B at the same time. If they move in the same direction, they meet in 6 hours, and if they move in opposite directions, they meet in 1 hr 12 min. find the speed of each car.

Q. 89.  Find the value of a and b such that the polynomial P(x)= (x2 + 3x + 2) (x2 + 2x + a) and Q(x)= (x2 + 7x + 12) (x2 + 7x + b) have (x +1) (x + 3) as their HCF.
         
Q. 90.  A passenger train takes 3 hours less for a journey of 360 km if its speed is increased by 10 kmph. What is the usual speed?

Q. 91.  If 10 times the 10th term of an AP is equal to 15 times its 15th term, show that its 25th term is  zero.

Q. 91.  Find the sum of all the odd numbers between 100 and 200. OR  find the sum of all 2digit
       whole no.divisible by 3.

Q. 92.  How many terms are there in the A.P  Also find its  general term?

Or

Find the sum of all odd integers between 78 and 500 which are divisible by 7.

Q. 93.  Find the values of ‘a’ and ‘b’ if the polynomial P(x) and Q(x) haveas their   
         G.C.D where ;

Q. 94. 

If                  

Q. 95.  In a flight of 1600 km an aircraft was slowed down by bad whether. Its average speed for the trip was reduced by 400 km/hr and the time of flight increased by 40 minutes. Find the actual time of flight.

Q. 96.  Express y in terms of x, given that 3x + 7y = 14. Check whether (3, -2) is a point on the
      given line.

 Q. 97.  Reduce the following to the lowest terms     x4 + x2 +1
                                                                                              x2 + x + 1

Q. 98.  Using factorisation, solve   x + 1   +   x – 2  = 3        (x ≠ 1, -2)                                                                                          x – 1                 x + 2

Q. 99.  If 2x + y = 35 and 3x +4y = 65, find the value of x/y.

Q. 100.  Write a rational expression whose numerator is a quadratic polynomial with zeros 2 and 3 and the denominator is a cubic polynomial with zeros  –2, 1, and 4.

Q. 101.  Using the quadratic formula, solve the following equation for x:                                                                          abx2 + (b2 –ac) x – bc = 0
 
Q. 102.  A man rowing at the rate of 5 Km/hr in still water takes thrice as much time in going  40  Km up the river as in going 40 km down. Find the rate at which the river flows.

Q. 104.  Solve the following system of equations:
          (a-b)x + (a+b)y = a2 – 2ab – b2
          (a+b)(x+y) = a2 + b2

Q. 104.  If  (x+5) is the HCF of  (x2 + 2kx +3k +3) and  (x2 + x – 5k), find the value of k.

Q. 105.  Solve the equation:  abx2 + (b2-ac)x – bc = 0

Q. 106.  Find the value of  ,where
 ,  ,

Q. 107.  The speed of a boat in still water is 6km/hr. The boat takes 1 hour more to cover a distance of 2.5 km moving upstream than moving downstream. Find the speed of the stream.

Q. 108.  The nth term of an AP is given by tn=4-3n. Find the sum of the first 15 terms of this AP.

Or

The 5th term of an AP is 24 and its 15th term is 74. Find the sum of its first 10 terms.

Q. 109.  If  is the HCF of  and , then show that .

Q. 110.  Simplify:

Q. 111.  If the difference between the 21st and 10th terms of an AP is 55, find the difference  between the 45th and 40th terms.   

Or

The sum of two natural numbers is 11 and the sum of their reciprocals is . Find the numbers.

Q. 112.  If the first term and last term of an AP are a and l respectively and its sum is S, prove that   
the common difference of the AP is equal to .

Q. 113.  Sum of n terms of an A.P. is . Find the A.P

Q. 114.  Find the sum of first 20 terms of an A.P. whose 6th term is zero and the 20th term is 20 more than the 15th term

Paper By Mr. Anil Kumar