CHAPTER 1- FUNCTIONS
1.1 RELATIONS
1.1.1 Representing Relations
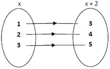
1- By Arrow Diagram
| One to one relation |
One to many relation |
 |
 |
| Many to one relation |
Many to many relation |
 |
 |
2- By Ordered Pair
(1, 3), (2, 4), (3, 5)
(1, 4), ( −2, 4), (3, 9), ( −3, 9)
3. By Graph

Set A is called domain of the relation and set B is the codomain.
Each of the elements in the domain (Set A) is an object. So 1, 2 and 3 are called object.
Each of the elements in the codomain (Set B) is an image. So 3, 4, 5 and 6 are called image.
The set that contains all the images that are matched is the range.
